一、Deepwalk
1.1 预备知识
机器学习,深度学习基础,语言模型,word2vec
1.2 Deepwalk介绍
DeepWalk的思想类似word2vec,使用图中节点与节点的共现关系来学习节点的向量表示。那么关键的问题就是如何来描述节点与节点的共现关系,DeepWalk给出的方法是使用随机游走(RandomWalk)的方式在图中进行节点采样。
$Deepwalk$将$graph$的每一个节点编码为一个$D$维向量(Embedding)(无监督学习)
Embedding中隐式包含了$Graph$中的社群,连接,结构信息,可用于后续节点分类等下游任务(监督学习)

Deepwalk通过套用随机游走(Random walk generation)将图像转化为D维向量

1.3 Embedding
我们需要将图转化为计算机了解的向量,所以我们需要使用embedding

1.4 word2Vec 词向量,词嵌入
word2vec通过语料库中的句子序列来描述词与词的共现关系,进而学习到词语的向量表示。
主要有两种方法
CBOW:用边缘词去预测中心词
Skip-gram:用输入的中心词去预测周围词

1.5 random Walk随机游走
RandomWalk是一种可重复访问已访问节点的深度优先遍历算法。给定当前访问起始节点,从其邻居中随机采样节点作为下一个访问节点,重复此过程,直到访问序列长度满足预设条件。
获取足够数量的节点访问序列后,使用skip-gram model 进行向量学习。

具体见[[Datawhale][CS224W]图机器学习(四)](https://blog.csdn.net/weixin_45856170/article/details/129070015)
1.6 DeepWalk 核心代码
DeepWalk算法主要包括两个步骤,第一步为随机游走采样节点序列,第二步为使用skip-gram modelword2vec学习表达向量。
①构建同构网络,从网络中的每个节点开始分别进行Random Walk 采样,得到局部相关联的训练数据; ②对采样数据进行SkipGram训练,将离散的网络节点表示成向量化,最大化节点共现,使用Hierarchical Softmax来做超大规模分类的分类器
Random Walk
我们可以通过并行的方式加速路径采样,在采用多进程进行加速时,相比于开一个进程池让每次外层循环启动一个进程,我们采用固定为每个进程分配指定数量的num_walks的方式,这样可以最大限度减少进程频繁创建与销毁的时间开销。
deepwalk_walk方法对应上一节伪代码中第6行,_simulate_walks对应伪代码中第3行开始的外层循环。最后的Parallel为多进程并行时的任务分配操作。
def deepwalk_walk(self, walk_length, start_node):
walk = [start_node]
while len(walk) < walk_length:
cur = walk[-1]
cur_nbrs = list(self.G.neighbors(cur))
if len(cur_nbrs) > 0:
walk.append(random.choice(cur_nbrs))
else:
break
return walk
def _simulate_walks(self, nodes, num_walks, walk_length,):
walks = []
for _ in range(num_walks):
random.shuffle(nodes)
for v in nodes:
walks.append(self.deepwalk_walk(alk_length=walk_length, start_node=v))
return walks
results = Parallel(n_jobs=workers, verbose=verbose, )(
delayed(self._simulate_walks)(nodes, num, walk_length) for num in
partition_num(num_walks, workers))
walks = list(itertools.chain(*results))
Word2vec
这里就偷个懒直接用gensim里的Word2Vec了。
from gensim.models import Word2Vec
w2v_model = Word2Vec(walks,sg=1,hs=1)
DeepWalk应用
G = nx.read_edgelist('../data/wiki/Wiki_edgelist.txt',create_using=nx.DiGraph(),nodetype=None,data=[('weight',int)])
model = DeepWalk(G,walk_length=10,num_walks=80,workers=1)
model.train(window_size=5,iter=3)
embeddings = model.get_embeddings()
evaluate_embeddings(embeddings)
plot_embeddings(embeddings)
1.7 DeepWalk优缺点
- 优点
- 首个将深度学习和自然语言处理的思想用于图机器学习
- 在系数标注节点分类场景下,嵌入性能卓越
- 缺点
- 均匀随机游走,没有偏向的游走方向(Node2Vec)
- 需要大量随机游走序列训练
- 基于随机游走,管中窥豹。距离较远的两个节点无法相互影响。看不到全图信息。(图神经网络)
- 无监督,仅编码图的连接信息,没有利用节点的属性特征
- 没有真正用到神经网络和深度学习
二、Node2Vec
2.1 图嵌入
将数据转化为D维连续稠密的向量,包含了原来的节点的多种信息


2.2 Node2Vec
优化目标
设 $f(u)$是将顶点 $u$ 映射为embedding向量的映射函数,对于图中每个顶点$u$,定义 $N_s(u)$ 为通过采样策略 $S$采样出的顶点 $u$的近邻顶点集合。
node2vec优化的目标是给定每个顶点条件下,令其近邻顶点(如何定义近邻顶点很重要)出现的概率最大。
| $max_f\sum_{u\in V}log Pr(N_s(U) | f(u))$ |
为了将上述最优化问题可解,文章提出两个假设:
- 条件独立性假设
| 假设给定源顶点下,其近邻顶点出现的概率与近邻集合中其余顶点无关。 $Pr(N_s(u) | f(u))=\prod_{n_i | f(u)}Pr(n_i | f(u))$ |
- 特征空间对称性假设
| 这里是说一个顶点作为源顶点和作为近邻顶点的时候共享同一套embedding向量。(对比LINE中的2阶相似度,一个顶点作为源点和近邻点的时候是拥有不同的embedding向量的) 在这个假设下,上述条件概率公式可表示为 $Pr(n_i | f(u))={expf(n_i)\cdot f(u)}\over{\sum_{v\in V}expf(v)\cdot f(u)}$ |
根据以上两个假设条件,最终的目标函数表示为
由于归一化因子
的计算代价高,所以采用负采样技术优化。
顶点序列采样策略
node2vec依然采用随机游走的方式获取顶点的近邻序列,不同的是node2vec采用的是一种有偏的随机游走。
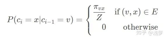
给定当前顶点 v ,访问下一个顶点 x 的概率为

$\pi_{vx}$ 是顶点 v 和顶点 x 之间的未归一化转移概率, Z 是归一化常数。
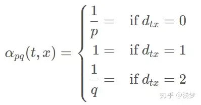
node2vec引入两个超参数 p 和 q 来控制随机游走的策略,假设当前随机游走经过边 (t,v) 到达顶点 �v设
,$\omega_{vx}$ 是顶点 v 和 x 之间的边权,

$d_{tx}$为顶点 t 和顶点 x 之间的最短路径距离。
下面讨论超参数 p 和 q 对游走策略的影响
- Return parameter,p
参数p控制重复访问刚刚访问过的顶点的概率。 注意到p仅作用于 $d_{tx}$=0 的情况,而$d_{tx}$=0 表示顶点 x 就是访问当前顶点 v 之前刚刚访问过的顶点。 那么若 p 较高,则访问刚刚访问过的顶点的概率会变低,反之变高。
- In-out papameter,q
q 控制着游走是向外还是向内,若 q>1 ,随机游走倾向于访问和 t 接近的顶点(偏向BFS)。若 q<1 ,倾向于访问远离 t 的顶点(偏向DFS)。
下面的图描述的是当从 t 访问到 v 时,决定下一个访问顶点时每个顶点对应的 $\alpha$ 。
设定p,q进行有偏随机游走

q节点小时更愿意进行BFS,p节点小时更愿意进行DFS

2.3 理论上的实现

2.4 Node2Vec代码实现
学习算法
采样完顶点序列后,剩下的步骤就和deepwalk一样了,用word2vec去学习顶点的embedding向量。 值得注意的是node2vecWalk中不再是随机抽取邻接点,而是按概率抽取,node2vec采用了Alias算法进行顶点采样。
Alias Method:时间复杂度O(1)的离散采样方法125 赞同 · 23 评论文章
node2vec核心代码

node2vecWalk
通过上面的伪代码可以看到,node2vec和deepwalk非常类似,主要区别在于顶点序列的采样策略不同,所以这里我们主要关注node2vecWalk的实现。
由于采样时需要考虑前面2步访问过的顶点,所以当访问序列中只有1个顶点时,直接使用当前顶点和邻居顶点之间的边权作为采样依据。 当序列多余2个顶点时,使用文章提到的有偏采样。
def node2vec_walk(self, walk_length, start_node):
G = self.G
alias_nodes = self.alias_nodes
alias_edges = self.alias_edges
walk = [start_node]
while len(walk) < walk_length:
cur = walk[-1]
cur_nbrs = list(G.neighbors(cur))
if len(cur_nbrs) > 0:
if len(walk) == 1:
walk.append(cur_nbrs[alias_sample(alias_nodes[cur][0], alias_nodes[cur][1])])
else:
prev = walk[-2]
edge = (prev, cur)
next_node = cur_nbrs[alias_sample(alias_edges[edge][0],alias_edges[edge][1])]
walk.append(next_node)
else:
break
return walk
构造采样表
preprocess_transition_probs分别生成alias_nodes和alias_edges,alias_nodes存储着在每个顶点时决定下一次访问其邻接点时需要的alias表(不考虑当前顶点之前访问的顶点)。alias_edges存储着在前一个访问顶点为 t ,当前顶点为 v 时决定下一次访问哪个邻接点时需要的alias表。
get_alias_edge方法返回的是在上一次访问顶点 t ,当前访问顶点为 v 时到下一个顶点 x 的未归一化转移概率 
def get_alias_edge(self, t, v):
G = self.G
p = self.p
q = self.q
unnormalized_probs = []
for x in G.neighbors(v):
weight = G[v][x].get('weight', 1.0)# w_vx
if x == t:# d_tx == 0
unnormalized_probs.append(weight/p)
elif G.has_edge(x, t):# d_tx == 1
unnormalized_probs.append(weight)
else:# d_tx == 2
unnormalized_probs.append(weight/q)
norm_const = sum(unnormalized_probs)
normalized_probs = [float(u_prob)/norm_const for u_prob in unnormalized_probs]
return create_alias_table(normalized_probs)
def preprocess_transition_probs(self):
G = self.G
alias_nodes = {}
for node in G.nodes():
unnormalized_probs = [G[node][nbr].get('weight', 1.0) for nbr in G.neighbors(node)]
norm_const = sum(unnormalized_probs)
normalized_probs = [float(u_prob)/norm_const for u_prob in unnormalized_probs]
alias_nodes[node] = create_alias_table(normalized_probs)
alias_edges = {}
for edge in G.edges():
alias_edges[edge] = self.get_alias_edge(edge[0], edge[1])
self.alias_nodes = alias_nodes
self.alias_edges = alias_edges
return
node2vec应用
使用node2vec在wiki数据集上进行节点分类任务和可视化任务。 wiki数据集包含 2,405 个网页和17,981条网页之间的链接关系,以及每个网页的所属类别。 通过简单的超参搜索,这里使用p=0.25,q=4的设置。
G = nx.read_edgelist('../data/wiki/Wiki_edgelist.txt',create_using=nx.DiGraph(),nodetype=None,data=[('weight',int)])
model = Node2Vec(G,walk_length=10,num_walks=80,p=0.25,q=4,workers=1)
model.train(window_size=5,iter=3)
embeddings = model.get_embeddings()
evaluate_embeddings(embeddings)
plot_embeddings(embeddings)
2.5 Node2Vec与DeepWalk相比的优点与特点
- 优点
- Node2Vec解决图嵌入问题,将图中的每个节点映射为一个向量(嵌入)
- 向量(嵌入)包含了节点的语义信息(相邻社群和功能角色)
- 语义相似的节点,向量(嵌入)的距离也近。
- 向量(嵌入)用于后续的分类,聚类,link Predictin,推荐等任务。
- 特点
- 在DeepWalk完全随机游走的基础上,Node2Vec增加p,q参数,实现有偏随机游走。不同的p,q组合,对应了不同的探索范围和节点语义。
- DFS深度优先探索,相邻的节点,向量(嵌入)距离相近
- BFS广度优先探索,相同功能角色的节点,向量(嵌入)距离相近。
- DeepWalk时Node2Vec在p=1,q=1的特例
2.6 Node2Vec的优缺点
- 优点
- 首次通过调节p,q值,实现了有偏随机游走,探索节点社群,功能等不同属性
- 首次将节点分类用于Link Prediction
- 可解释性,可扩展性好,性能卓越
- 缺点
- 需要大量随机游走序列训练
- 距离较远的两个界定啊无法直接相互影响。看不到全图信息。(图神经网络)
- 无监督,仅编码图的连接信息,没有利用节点的属性特征(图卷积)
- 没有真正用到神经网络和深度学习
参考文献
[1] 斯坦福CS224W图机器学习、图神经网络、知识图谱【同济子豪兄】
